건너뛰기 메뉴



공지사항

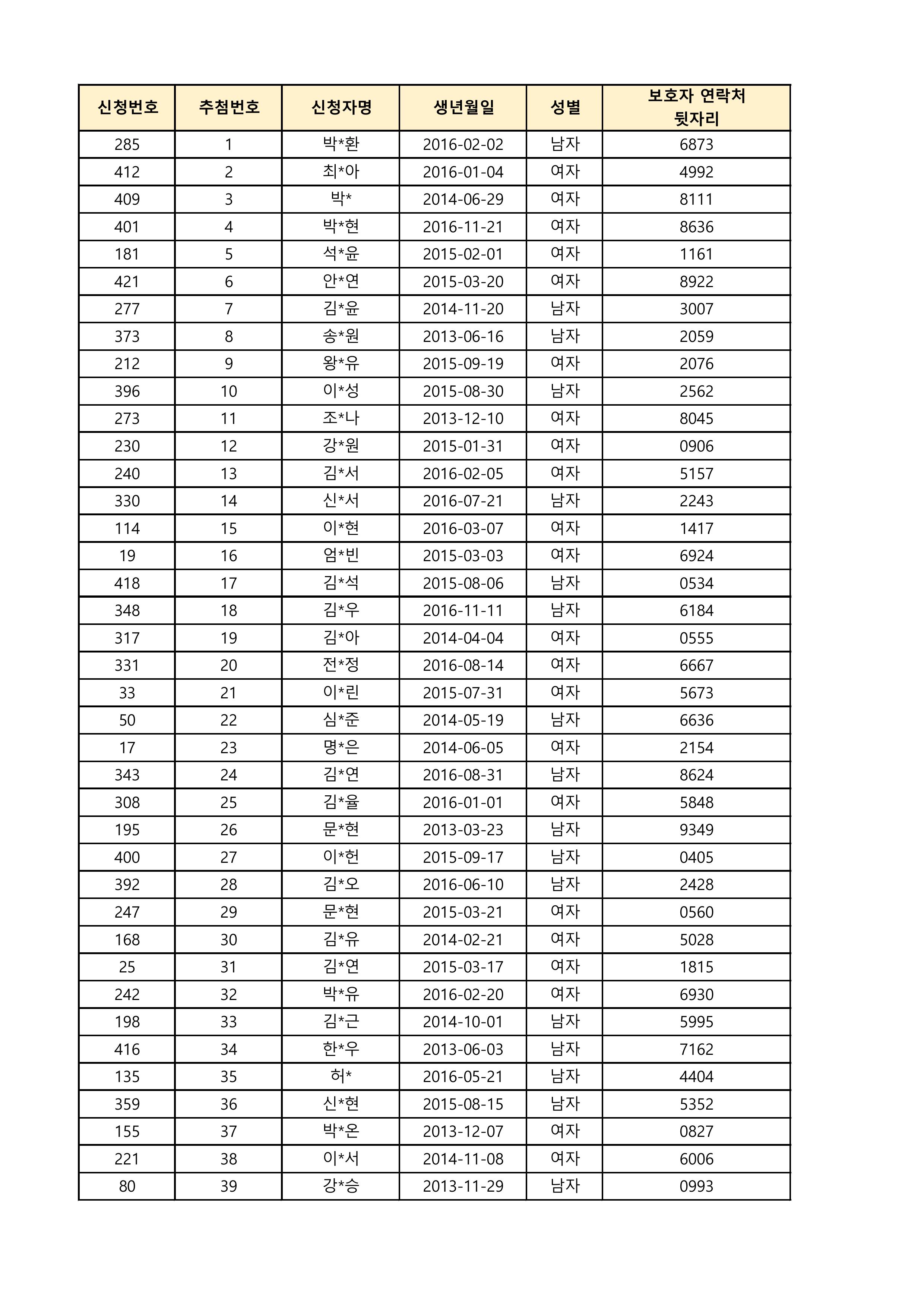
인재육성지원센터 [인재육성지원센터] 2025년 제2회 미래를 여는 정약용 인재육성캠프 추첨제 결과 안내

작성자
인재육성지원센터
등록일자
2025년 7월 17일 10시 43분 2초
조회
371

안녕하세요남양주시 미래교육과입니다. 


[ 2025년 제2회 미래를 여는 정약용 인재육성캠프 ] 프로그램에 관심을 가져주셔서 감사합니다.


추첨제 결과를 아래와 같이 공지합니다.

 

추첨 결과는 각 신청 페이지의 [신청확인]에서 조회하실 수 있습니다.


▷2025년 제2회 미래를 여는 정약용 인재육성캠프 신청확인 페이지 바로가기◁ 

 

추첨 결과는 해당 공지사항에 따릅니다.

 

추첨 이후와 관련된 안내는

신청서 상에 기입하신 보호자 연락처로 문자안내 드리도록 하겠습니다.(발신번호 031-590-1497)


당첨자명단(게시용)v2-이미지-0.jpg

당첨자명단(게시용)v2-이미지-1.jpg당첨자명단(게시용)v2-이미지-3.jpg

당첨자명단(게시용)v2-이미지-3.jpg당첨자명단(게시용)v2-이미지-4.jpg


감사합니다.​

  1. 당첨자명단(게시용)v2-이미지-0.jpg   [ Size : 718.76KB, Down : 138 ] 미리보기 다운로드
  2. 당첨자명단(게시용)v2-이미지-1.jpg   [ Size : 723.04KB, Down : 105 ] 미리보기 다운로드
  3. 당첨자명단(게시용)v2-이미지-3.jpg   [ Size : 731KB, Down : 101 ] 미리보기 다운로드
  4. 당첨자명단(게시용)v2-이미지-3.jpg   [ Size : 731KB, Down : 98 ] 미리보기 다운로드
  5. 당첨자명단(게시용)v2-이미지-4.jpg   [ Size : 684.44KB, Down : 87 ] 미리보기 다운로드

목록보기